研究專欄

查詢年份: 2013 2014 2015 2016 2017 2018 2019 2020 2021 2022 2023 2024 2025 2026

2014年
變星的色指數圖

饒兆聰 助理教授: 我們分析探討了在我們銀河系與大小麥哲倫星系内的造父變星和天琴座RR變星的一些觀測上的性質和它們之間的關係。這包括了這類變星在極亮和極暗時的週期-色指數(period-color, PC) 與振幅-色指數(amplitude-color, AC) 關係,而我們主要以在可見光的VI波段來求得這類變星的色指數。我們發現在不同星系或是不同種類的變星,它們相關的PC/AC關係會在不同的週期而有所變化。如在麥哲倫星系内的造父變星在週期10天前和10天後會尊循不同的PC/AC關係。有的PC/AC關係它們的斜率甚至趨近於零(如天琴座RR變星在極暗時的PC關係)。這些觀測到的關係都和現有的理論模型相輔,也可用來作為未來更進一步的恆星脉動和演化理論的觀測基礎。

低質量X光雙星是一個以中子星或黑洞的天體不斷的吸積其低質量伴星所構成的系統示意圖

周翊 副教授: 低質量X光雙星是一個以中子星或黑洞的天體不斷的吸積其低質量伴星所構成的系統,它們是研究恆星質量等級的致密天體與吸積現象之重要來源之一。如同其它雙星系統一樣,低質量X光雙星最重要的參數是其軌道週期,它可以使我們了解這雙星系統及其組成成員,包含致密天體的許多特性。因此,儘管目前已知軌道週期的低質量X光雙星不到其總數的一半,其測量對研究這類天體依然有其重要性。本篇文章將介紹在X光波段不同量測軌道週期的方法,以及回顧他們在不同種類低質量X光雙星,包含了食雙星、光陷雙星及脈衝雙星上的應用。(Yi Chou, RAA, 2014, 14.1367C)

光度監測資料圖

陳文屏 教授: V710 Mon是顆接觸食雙星,週期0.4025天。利用雲南天文台一米望遠鏡(2007, 2009年),以及 Tenagra 0.8米望遠鏡(2013年)所收集的光度監測資料(如圖),我們發現此雙星系統的質量比很小,只有0.143到0.183,而且軌道週期每年增加 1.95 x 10−7天,依此推論其中一顆星已經離開主序,而演化到膨脹階段。 (L. Liu, et al. (including W. P. Chen) 2014, New Astron., 31, 60)

小行星(335433) 2005 UW163之週期分析及週期疊合之光變曲線

章展誥 博士後研究員: 超快自旋小行星(Super-Fast Rotator) 直徑大於150公尺左右的小行星為許多小碎塊(fragments)所組成,即所謂的「瓦礫堆」模型(rubble pile)。這類小行星但靠本身之重力將這些小碎塊束縛住,因此無法擁有短於兩小時的自旋週期(rotation period),否則其重力將無法抵抗自旋所產生的離心力而被甩裂。所以這類的小行星自旋週期與其直徑分布會落在兩小時的自旋屏障(spin barrier)之下(圖一)。然而,小行星2001 OE84 卻是個例外(圖一藍點),其直徑約650公尺,自轉周期約半小時,我們稱這樣的小行星為超快自旋小行星。這暗示了瓦礫堆小行星可能不只單靠自身重力束縛,可能還需其他機械力輔助,如:摩擦力、黏滯力….等。因此找到更多此類超快自旋小行星將有助於了解小行星內部結構。本所博士後研究員章展誥再探高計畫(TANGO)的支持下利用帕羅瑪迅變巡天計畫進行小行星自旋週期之研究,發現了小行星(335433) 2005 UW163之直徑約為600公尺並以1.3小時之週期旋轉。該發現確認了超快自旋小行星的存在,並提供了小行星內部模型建立之重要線索。圖二為小行星(335433) 2005 UW163之週期分析及週期疊合之光變曲線。(Chang, Chan-Kao et al., 2014, ApJL,791L,35C)

相位演化分析圖

博士生胡欽評: RE J1034+396 是一個窄線西佛星系,它是目前唯一一個被發現有準周期振盪現象的活躍星系核。我們利用希爾伯-黃轉換,仔細研究該準周期振盪的演化。與其他時頻分析方法相比,希爾伯頻譜能將準周期振盪的變化描述得更精準。相位演化分析的結果認為準周期振盪的周期可以分成三個演化階段,其周期性及周期與X射線強的關係會著演化階段而改變。利用最精準的周期性,我們發現在高能X射線和低能X射線之間並不存在相位延遲的現象。最後,我們針對三個可能的模型,包括吸積盤熱點,吸積盤振盪,以及震波震盪模型進行討論。 (Hu, Chin-Ping et al. 2014, ApJ, 788, 31)

經由土星環附近的帶電微小冰晶麈埃粒子之軌道變化圖

太空所碩士班畢業生劉晉銘: 經由土星環附近的帶電微小冰晶麈埃粒子之軌道變化的硏究,我們發現帶正電並且電荷和質量比例是在10-6 e/AMU左右者,其軌道都在赤道面移動,並由此角度進入土星大氣層。卡西尼太空船的無綫波掩星實驗發現土星離子層在赤道位置的電子濃度大量減縮。於以上所描述的帶電麈埃粒子運動相關水分子的注射機制,便可能和這個效應有重要關係。 (Liu, Chin-Min & Ip, Wing-Huen 2014, ApJ, 786, 34)

自轉與磁場活動的關係圖

陳文屏 教授: 我們利用可見光與紅外觀測,指認出NGC 1893 這個年輕星團(2~4 Myr; 3.25 kpc)的成員星,並研究恆星的X射線強度,以探討自轉與磁場活動的關係。我們發現無論是典型金牛座星 (classical T Tauri stars) 或是弱線金牛座星 (weak-lined T Tauri stars) ,X射線的強度都隨星球質量增加,而隨年齡減弱,但似乎與星球自轉沒有直接關連。(Pandey, A.K. et al. (including W. P. Chen) 2014, New Astron., 29, 18)

P/2011 S1 (Gibbs)體積與質量流失率

博士後研究員林省文: P/2011 S1 (Gibbs) 是一個運行於木星與天王星軌道之間的半人馬小行星(Centaur)。 一般說來這些遙遠暗淡的彗星不容易引起人們的注意而去特別觀測它們, 然而泛星計劃無差別的尋天提供了獨一無二的機會讓我們去了解這類天體在時間, 空間上的變化。我們利用泛星計劃的觀測資料發現P/2011 S1 (Gibbs) 雖然距離太陽遙遠(~8AU), 而且體積不大(半徑~3km)但是卻擁有相當旺>盛的彗星活動, 以單位表面積的質量損失率來看它可以算是活動最旺盛的半人馬小行星之一, 因此我們猜測它可能含有豐富的固>態一氧化碳與乾冰這類的高揮發性物質。此外泛星計劃的資料還顯示這個彗星的彗髮亮度有隨著時間的變化, 反映到其質量損失率的改變(40kg/s ~ 150kg/s), 可能存在一些小規模的突發噴氣現象。根據電腦模擬我們估計P/2011 S1 (Gibbs)可以在目前的軌道生存約一萬年, 然而以如此大的質量損失率這個彗星應該在千年左右即揮發殆盡。這個時間尺度上的矛盾可以解釋為P/2011 S1 (Gibbs)的彗星活動近期才發生。綜合以上的結果, 我們推測P/2011 S1 (Gibbs)雖然富含揮發性物質, 但是表面被灰塵覆蓋而沒有產生彗星活動。因為某些因素, 如微小的撞擊, 打開了表面的遮蔽物生成所謂的”熱點”, 使得揮發性物質裸露而開始揮發。上彗星本生的自轉, 熱點照射到太陽即突然增加質量損失率, 遠離太陽直射時就會降低質量損失率。我們相信這個”熱點”假說/2011 S1 (Gibbs)的行為提供了合理的解釋。 (Lin, Hsing-Wen et al. 2014, AJ, 147, 114)

一些新的變星的光變曲線圖

饒兆聰 助理教授: 由中央研究院天文所主導的TAOS(Taiwanese–American Occultation Survey)計畫利用在鹿林天文台的4座50cm望遠鏡来尋找Kubir Belt 的天體。除了找Kubier Belt 的天體外,TAOS的連續性關測的資料也非常適合用来尋找新的變星。在TAOS的16個星場内,我們用7年的觀測資料找到了143顆變星,其中的53顆變星是新的發現。這些變星包括了食雙星和不同種類的脈動變星(如天琴RR變星,造父變星和米拉變星)。上圖顯示了一些新的變星的光變曲線圖。之前的變星觀測計畫如ASAS主要是尋找比較亮的變星(星等亮於~13等),而現在或未来的巡天計畫(如Pan-STARRS1, LSST etc)將會集中在暗於~16等的星體,所以在TAOS計畫中找到的變星能擬補在星等~13到~16等之間的變星數量的不足。 (Ishioka, R. et al. (Including: Ngeow,C.-C., Chen,Wen-Ping) 2014, AJ, 147, 70I)

NEA BV-VR color-color Diagram

校友林建賢: 擁有低傾角以及高離心率軌道的近地小行星(297274)1996 SK,也被歸類是一顆潛在危險小行星,它是我們使用鹿林一米望遠鏡進行近地小行星多波段觀測搜索的其中一顆目標。由於發現(297274)1996 SK的表面有較大的顏色變化,在此我們特別報告它的一些觀測結果:由光變曲線得其自轉週期為4.656±0.122小時,它的表面平均色指數為B-V = 0.767±0.033, V-R = 0.482±0.021, V= 0.801±0.025,其相對反射光譜,我們將它歸類為S型小行星。小行星表面有如此大的顏色變化,可能原因是它表面有不同程度的太空風化結果,或是其組成構造不均勻分佈所造成的現象。 (Lin, Chien-Hsien et al. arXiv:1310.8561)

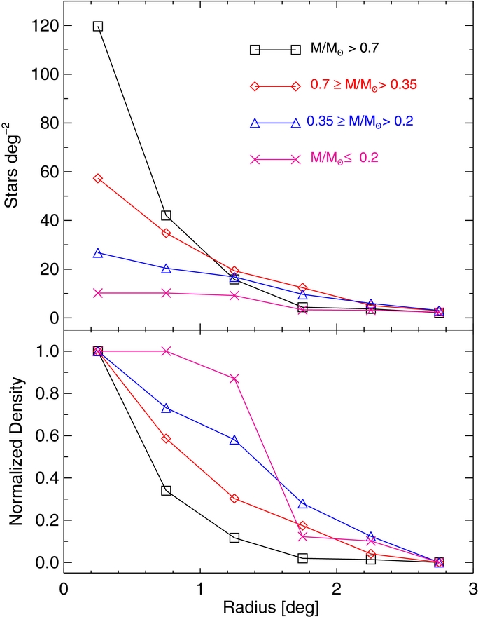
光度資料,配合PPMXL的自行運動數據資料圖

陳文屏 教授: 我們利用2MASS與泛星計畫的光度資料,配合PPMXL的自行運動數據,在鬼宿星團(Praesepe; M44) 中指認出超過1000顆成員星,是目前文獻中最完備的資料。依此我們推論出這個鄰近(170 pc) 而中等年齡 (757 Myr) 的星團雙星比例占了20%到40%,且多為等質量雙星系統。星團的質量函數相當於銀河盤星族,但明顯缺少小於 0.3 太陽質量的成員星,這些低質量恆星正從星團中逃逸(如附圖),顯示此星團正在瓦解。(P. F. Wang et al. (including W. P. Chen) 2014, ApJ, 784, 57)

3C 279類星體的 Lyman Alpha 光度

陳文屏 教授: 我們提出類星體與西佛一型星系當中所觀測到的寬發射線,除了來自一般的電子能階躍遷,在致密的電子密度條件下,也可能來自Cerenkov輻射,並進而解決之前理論無法解釋的一些現象,例如同樣天體的不同的譜線顯示不同紅移。此處推導出這種特殊輻射的發射功率簡化公式,並應用於解釋3C 279 這個類星體的 Lyman Alpha 光度(如附圖)。即使沒有一般的共振譜線,在大量相對論電子的條件下,無論雲氣的光學厚度,Cerenkov輻射皆得以提供足夠的輻射能量。 (D. B. Liu et al.(including W. P. Chen) 2014, ApJ, 780, 89)