研究專欄

查詢年份: 2013 2014 2015 2016 2017 2018 2019 2020 2021 2022 2023 2024 2025 2026

2015年
Oph-T17影像圖

博士後研究員 姜博識:棕矮星是一種質量低於氫融合反應下限 (約 80木星質量) 的天體。因為這類天體太暗而難以觀察,直到 1995年第一個棕矮星才被發現,2000年後因為紅外偵測器的進步開始有系統地在太陽周遭陸續發現棕矮星。2010年以後,最冷的 Y型棕矮星也被確認,到此類棕矮星質量已經低於氘融合的質量下限 (約 13木星質量)。截至目前為止,確認的棕矮星接近兩千顆。以上的棕矮星大多是在太陽周遭,因此他們的形成與早期演化資訊已無法得知,而目前的理論模型對年輕而又這麼低質量的天體無法完整描述,在恆星形成區中尋找剛誕生的小質量天體就變得很重要。我們利用加法夏望遠鏡的廣視野紅外相機在鄰近的蛇夫座恆星形成區中搜尋候選的年輕棕矮星,最後使用雙子星望遠鏡的紅外光譜儀確認兩個候選星大氣中的甲烷,證實他們是年輕的 T 型棕矮星。

OSIRIS相機所拍攝的彗星67P影像

地科系學生 李睿綺: 我們利用羅賽塔太空船上的OSIRIS相機所拍攝的影像中,看到彗星67P上分布著許多大石塊,從影像中我們辨識了3546個大於7公尺的石塊在表面積為36.4平方公里的彗核表面上。從累積大小分布的統計圖中,我們得到在整顆彗星上石塊的冪次指數為-3.6,在彗星的身體上為-3.5,在頭上則為-4.0,在脖子上為-2.2。我們認為脖子上大石塊的來源是來自於緊鄰的峭壁位於Hathor。這個在脖子上較低的冪次指數,我們認為是由下列的幾個作用正在對彗星上較小的石塊作用所造成,(1)在昇華的過程中,這些石塊分解或消失(2)石塊被氣體的拉力抬升後,分布到別的地方(3)被沙塵掩埋。

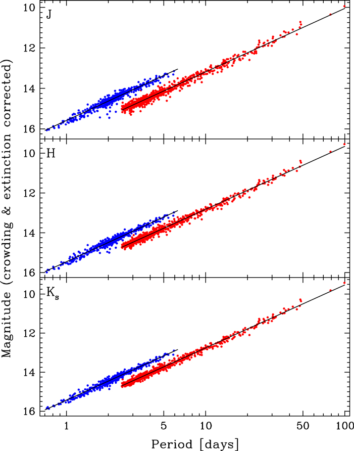
光變曲線圖

饒兆聰 助理教授: 我們使用了安裝在CTIO1.5米望遠鏡上的CPAPIR紅外相機對在大麥哲倫星系(LMC)内的造父變星作了在JHKs波段的時序觀測。我們觀測的範圍包括了在LMC中心附近大約18平方度的天區,深度可達Ks~16.5mag,總共觀測了3百50萬顆星體和1417顆造父變星。每顆在觀測範圍在的造父變星平均有16次的觀測資料,足以建構它們的光變曲線圖。我們在JHKs觀測到的LMC造父變星是前人所作的9倍,進而把造父變星在JHKs波段的週光關係斜率的準確度題高了10倍。利用最新和最準確測量到的LMC距離,我們矯正了JHKs波段的週光關係以及在LMC的其它標準燭光(如red-clump星和TRGB)的絕對星等。

彗星67P/C-G的形狀影像

葉永烜 教授: 在羅塞達太空船上的奧西利科學攝影機的影相指出彗星67P/C-G的形狀可分為三大部份:即各名為頭和身體的兩大塊,以及中間比較狹窄的部份則稱為頸部。整個彗核的平均密度(=0.47 g/c.c.) 少於水冰的一半。當67P離太陽距離超過3天文單位時,噴流現像主要出自頸部。彗核依其動量主軸自轉,週期為12.4小時。這彗核的成因可能是在太陽系剛形成時,由兩塊微星體相碰而成,但也可能由一整塊的微星體從中侵蝕而成現在的樣子。